蜂蜜檸檬水是將檸檬壓榨后,向其中加入蜂蜜和飲用水,調配后所制得而成的飲料。蜂蜜檸檬水因其制作方便、營養豐富、風味清爽及滋味獨特而深受消費者青睞。盡管蜂蜜的種類繁多,每種蜂蜜都有其獨特的風味和特性。本研究通過電子鼻、電子舌和電子眼技術對16種不同蜜源蜂蜜所制成的蜂蜜檸檬水的感官特性進行測定。

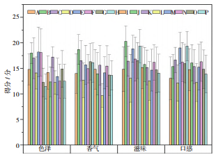
人工感官評定結果
人工感官評定小組由20人組成,以色澤、香氣、口感和滋味為指標,取其平均值做為最終分數,詳見表1。
表1 人工感官評分表


不同蜂蜜檸檬水人工感官評價結果如圖1所示。從色澤感官特征方面看,不同蜂蜜檸檬水色澤差異較大,其中E檸檬水和B檸檬水顏色均勻、深淺適宜;而H檸檬水顏色過淺,L檸檬水顏色過深。在香氣和滋味特征方面,B檸檬水評分均最高,香氣較為濃郁、無不良氣味、酸甜適宜;而L檸檬水香氣和滋味特征上評分均最低。在口感方面,E檸檬水口感較好,而D檸檬水口感相對較差。B檸檬水人工感官評價總分得分最高,其次是E檸檬水感官評分較高;而L檸檬水感官評分最低,品質較差。總體看,蜂蜜本身顏色和氣味可對蜂蜜檸檬水產生影響。
圖1 人工感官評定圖


電子眼數據分析結果
對16種不同蜜源所制成的蜂蜜檸檬水進行電子眼顏色分析,篩選占比大于5%的顏色作為樣品的特征色號來進行后續分析.所有樣品共提取到特征色號36個,色號范圍介于2672~3820,如圖2所示。16種不同蜂蜜檸檬水樣本各提取到特征色號數目為1~6個。其中,G檸檬水僅提取到1個特征色號,特征色號數量最少;K和L檸檬水均提取到6個特征色號,特征色號數量最多。G和J檸檬水占比最大特征色號相同,為3801;I和M檸檬水占比最大特征色號相同,為3802;O和A檸檬水占比最大特征色號相同,為3784;其余蜂蜜檸檬水占比最大特征色號均不相同。雖然人眼難以區分樣本間顏色的細微差異,但電子眼能夠對樣本進行色彩頻譜組成分析,獲得樣本色澤的具體信息。
圖2 基于電子眼分析的樣品特征色號圖


將全部蜂蜜檸檬水樣品的電子眼數據進行主成分分析(PCA),如圖3(A)所示。由圖3(A)可知,識別指數為98,表明電子眼對蜂蜜檸檬水樣品色澤具有較高的識別指數。I和M檸檬水樣品色澤與特征色號3802和3803相關,G、N和J檸檬水樣品色澤與特征色號3801、3529和3530相關;D檸檬水樣品色澤與特征色號3785相關,如圖3(B)所示。B、C、E、F和P樣本分布在較近的區域,說明這5個樣品較其他樣品在色澤上差異較小。去除差異較大的蜂蜜檸檬水樣本,再將B、C、E、F和P樣本進行PCA,如圖3(C)所示。由圖3(C)可知,識別指數為100,樣本均勻分散于圖中,說明電子眼能夠對色澤差異較小的樣本進行區分和識別。上述結果表明,使用不同蜜源蜂蜜能影響蜂蜜檸檬水成品的色澤,且不同樣品間的顏色差異能夠使用電子眼將其準確分辨出。
圖3 樣品電子眼PCA圖

電子鼻數據分析結果
利用電子鼻分析軟件AlphaSoft對電子鼻數據進行分析,獲得16種蜂蜜檸檬水氣味數據,色譜峰主要集中在40~100s。通過16種蜂蜜檸檬水電子鼻氣味指紋圖譜(見圖4),可直觀觀察不同樣本氣味的關系變化情況。對16種蜂蜜檸檬水的氣味進行PCA,D和J檸檬水樣本存在重疊,差異較小,無法準確區分。除去D和J檸檬水外,其余14種蜂蜜檸檬水PCA識別指數為100,樣本不存在重合,說明14種蜂蜜檸檬水氣味上的差異可以通過電子鼻實現區分,如圖5所示。在PCA圖中,樣品間的相對距離越近,則樣品整體氣味越接近,而K、O和F檸檬水樣品與其他樣品的相對距離較遠,表明這3種檸檬水與其他樣品的氣味差別較大;而除K、O和F檸檬水之外的其他檸檬水在圖上的相對距離都比較接近,這說明這些蜂蜜檸檬水的氣味分析結果較相似。香氣上,L號樣本遠離其他樣本,結合人工感官評價結果,其具有明顯的不良氣味,可能與蕎麥蜂蜜本身具有刺激性氣味有關。
圖4樣品電子鼻指紋圖譜


圖5樣品電子鼻PCA圖


電子舌數據分析結果
利用電子舌儀器對16種蜂蜜檸檬水進行味覺分析,AHS(酸味)傳感器響應值為負數,其他6個電子舌傳感器響應值為正值,表明電子舌傳感器對蜂蜜檸檬水具有不同的響應,如圖6所示。由圖6可知,B和H檸檬水具有較高的苦味,而P檸檬水具有較低的苦味,B和I檸檬水具有較高的咸味傳感器和鮮味傳感器響應值,E檸檬水的咸味傳感器和鮮味傳感器響應值均最低,E和K檸檬水的甜味傳感器響應值較低。總的來說,不同種類蜂蜜檸檬水的風味存在差異,可能是各滋味物質間協同發揮作用的結果。
圖6樣品電子舌分析圖


16種蜂蜜檸檬水的滋味PCA圖如圖7所示。由圖7可知,16種蜂蜜檸檬水的電子舌PCA識別指數為99,表明樣本之間具有很好的區分度。E、H、B、I、O和K檸檬水分布距離較遠,說明這6種蜂蜜檸檬水的口味差別最明顯;F、L、A、M和P檸檬水等樣本分布于原點附近,距離較近,表明其具有類似的滋味特點。B和H檸檬水分布于PCA圖第3象限中,樣本與SCS、NMS和CTS等傳感器響應值有關。
圖7 樣品電子舌PCA圖


結論
蜂蜜作為天然甜味物質,在檸檬產品開發中具有獨特優勢,本研究基于智能感官系統對蜂蜜檸檬水進行色澤、滋味和氣味的系統分析。不同類型蜂蜜對蜂蜜檸檬水的風味產生了影響,而電子鼻、電子舌和電子眼技術能夠識別蜂蜜檸檬水氣味、滋味和色澤上的差異,將不同蜜源所制成的蜂蜜檸檬水進行區分。
來源:感官科學與評定,轉載請注明來源。文章封面圖片來源于創客貼會員。
參考文獻:蘭乾敏,時小東,王嘉,等.基于智能感官技術的不同蜜源蜂蜜檸檬水風味差異分析[J].成都大學學報(自然科學版),2025,44(02):138-143.
提醒:文章僅供參考,如有不當,歡迎留言指正和交流。且讀者不應該在缺乏具體的專業建議的情況下,擅自根據文章內容采取行動,因此導致的損失,此公眾號運營方不負責。如文章涉及侵權或不愿我平臺發布,請聯系小編。




