酸奶作為營養與保健功能集于一體的乳制品,深受人們喜愛。酸奶在制作過程中要添加6%~9%蔗糖,攝入過多蔗糖會帶來健康問題。無蔗糖酸奶是在普通酸奶的制作基礎上選用健康型甜味劑替代傳統蔗糖,此類甜味劑甜度高、能量低,賦予食物與蔗糖相類似的甜味。無蔗糖酸奶的特殊在于不僅保留了牛乳的風味及營養價值,而且熱量低。
目前,眾多研究者及銷售的無蔗糖酸奶大多采用糖醇類、單一天然甜味劑、人工甜味劑等作為蔗糖替代糖。本文選用赤蘚糖醇、羅漢果甜苷、甜菊糖苷復配后代替蔗糖制作無蔗糖酸奶,系統研究添加蔗糖酸奶和無蔗糖酸奶發酵過程中在色、香、味、粘度、硬度、乳酸菌活菌數量等方面的差異性。
材料與方法
材料與儀器
原料乳、復配糖(用赤蘚糖醇、羅漢果甜苷、甜葉菊苷按1:0.02:0.02復配,與蔗糖的甜味比為7.77:1)。
HeraclesII電子鼻、Astree電子舌、IRISVA400電子眼。
實驗方法
天然復配糖配方的確定
配制8%蔗糖溶液,以8%蔗糖溶液為基準,根據赤蘚糖醇、羅漢果甜苷、甜菊糖苷等倍甜比例(赤蘚糖醇:羅漢果甜苷=99.58:0.42,赤蘚糖醇:甜菊糖苷=99:0.05)進行復配混合,配制與8%蔗糖溶液等甜度的天然復配糖。采用感官評分(感官表如表1所示)和電子舌檢測相結合的方式,確定與8%蔗糖溶液同等甜度的天然復配糖配方,通過算出8%蔗糖溶液與同等甜度天然復配甜味劑的溶質質量分數之比,從而得出與4%、6%、10%、12%蔗糖溶液同等甜度的天然復配糖配方。
指標測定
無蔗糖酸奶和普通酸奶發酵終點的確定、硬度變化、粘度變化、乳酸菌數量變化。
感官測定 感官評價標準:評分標準參照GB19302-2010《食品安全國家標準發酵乳》的要求并進行修改,選擇10名經過培訓的感官評價人員,對酸奶的組織結構、色澤、口感、風味進行感官評分,如表1所示。
電子鼻測定、電子舌測定、電子眼測定
結果與分析
天然復配糖配方的確定
各配方復配糖比例如下:
配方1:赤蘚糖醇:羅漢果甜苷:甜菊糖苷=99:2.5:2
配方2:赤蘚糖醇:羅漢果甜苷:甜菊糖苷=90:1.8:1
配方3:赤蘚糖醇:羅漢果甜苷:甜菊糖苷=99:2:2
配方4:赤蘚糖醇:羅漢果甜苷:甜菊糖苷=99:2:1
配方5:赤蘚糖醇:羅漢果甜苷:甜菊糖苷=99:2:2.5
1.經感官評價(如表2)分析得到樣品3和8%蔗糖溶液的甜度相似。
2.電子舌味覺分析(表3)得到樣品3和8%蔗糖溶液的甜度相似。
3.電子舌傳感器雷達圖分析,如圖1所示,得到樣品3和8%蔗糖溶液甜度相似。
4.主成分分析,建立二維圖,如圖2~圖3所示,經過綜合分析得出,樣品3和8%蔗糖溶液滋味更接近。
無蔗糖酸奶與普通酸奶發酵過程中酸度變化
1.兩種酸奶的酸度變化趨勢基本相同。相同發酵時間,同等甜度的兩種酸奶,添加復配糖的無蔗糖酸奶均比普通酸奶產酸速率快。
2.添加與不同蔗糖濃度同等甜度復配糖的無蔗糖酸奶,產酸速率具有顯著性差異(P<0.05);6%產酸速率最大,其次是8%、10%、12%、4%。
3.添加不同濃度蔗糖的普通酸奶,產酸速率具有顯著性差異(P<0.05);產酸速率最大的是6%,其次是4%、8%、10%、12%。
4.蔗糖的添加量會影響發酵時間。不同濃度的無蔗糖酸奶發酵時間均為5 h,說明4%~12%復配糖對乳酸菌的生長無明顯抑制作用。
無蔗糖酸奶與普通酸奶發酵過程中硬度變化
1.相同發酵時間,添加復配糖的無蔗糖酸奶的硬度均比添加同等甜度蔗糖的普通酸奶大;
2.發酵1~3h,普通酸奶和添加同等甜度復配糖的無蔗糖酸奶硬度變化不明顯,3h后硬度顯著增大(P<0.05),二者出現顯著性差異(P<0.05)。
3.發酵結束后,添加蔗糖濃度為4%、6%、8%的普通酸奶和和添加同等甜度復配糖的無蔗糖酸奶之間無顯著性差異(P>0.05),添加蔗糖濃度為10%、12%的普通酸奶和添加同等甜度復配糖的無蔗糖酸奶 存在顯著性差異(P<0.05)。
無蔗糖酸奶與普通酸奶發酵過程中粘度變化
1.同等甜度下,添加復配糖的無蔗糖酸奶粘度增加速率比普通酸奶大。
2.發酵1~3h,添加不同濃度蔗糖的普通酸奶和添加同等甜度復配糖的無蔗糖酸奶粘度變化不明顯,3h之后,粘度上升,且二者出現顯著性差異(P<0.05)。
3.添加不同蔗糖濃度的普通酸奶和添加同等甜度復配糖的無蔗糖酸奶達到發酵終點時,粘度無顯著性差異(P>0.05)。
無蔗糖酸奶與普通酸奶乳酸菌數量變化
1.隨著發酵進行,兩種酸奶乳酸菌數量呈上升趨勢。相同甜度下,添加復配糖的無蔗糖酸奶乳酸菌增長速率大于添加同等甜度蔗糖的普通酸奶。
2.不同復配糖添加量對乳酸菌沒有明顯的抑制作用,添加量為4%~12%的復配糖適合乳酸菌生長。
無蔗糖酸奶與普通酸奶感官評價結果
添加復配糖的無蔗糖酸奶和添加蔗糖的普通酸奶感官評分如圖8所示。添加6%蔗糖的普通酸奶感官評分89,同等甜度下添加復配糖的無蔗糖酸奶感官評分93,評分較其它濃度的酸奶高。同等甜度下,4%蔗糖和復配糖添加量過少不足以掩蓋酸奶發酵過程中的酸味,但組織狀態良好;同等甜度下,8%、10%、12%蔗糖和復配糖添加量過高,滋味過甜。添加量過高會影響到酸奶的凝乳效果,延長發酵時間,有少量乳清析出,出現組織狀態不好的現象。6%的添加量,酸奶酸甜可口,且發酵時間適宜,組織狀態均勻,滋味氣味良好。
無蔗糖酸奶與普通酸奶氣味變化差異
對發酵完成的無蔗糖酸奶和普通酸奶進行電子鼻氣味檢測,并進行主成分分析,如圖9所示。發酵結束后,蔗糖添加量在4%~12%的普通酸奶和添加同等甜度復配糖的無蔗糖酸奶,主成分1和主成分2之和大于95%,能夠很好的反映樣品的情況。4%、10%和12%識別指數分別為86、96和95,均大于85,故添加蔗糖濃度為4%、10%、12%的普通酸奶和添加同等甜度復配糖的無蔗糖酸奶氣味上具有顯著性差異(P<0.05);而6%、8%識別指數−0.5、32,均小于85。因此,添加蔗糖為6%、8%的普通酸奶和添加同等甜度復配糖的無蔗糖酸奶氣味更接近,無顯著性差異(P>0.05)。
對兩種酸奶進行揮發性成分分析,如表4~表5所示。由表4~表5可知,添加不同濃度蔗糖、復配糖的普通酸奶和無蔗糖酸奶中分別檢測出31、44種揮發性成分,包括酯類、醇類、酮類化合物、烷烴類物質、烯類物質及其他揮發性物質。添加不同濃度蔗糖的普通酸奶揮發性物質種類不具有顯著性差異(P>0.05),添加與12%蔗糖同等甜度復配糖的無蔗糖酸奶揮發性成分種類與其他濃度具有顯著性差異(P<0.05)。普通酸奶和無蔗糖酸奶分別產生的丙酸戊酯、正己酸乙酯、戊酸丙酯、庚酸乙酯、丙酸己酯等酯類物質主要起到呈香作用。
無蔗糖酸奶與普通酸奶滋味變化差異
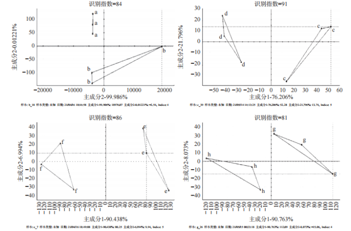
對不同濃度的兩種酸奶進行電子舌檢測,并進行味覺主成分分析。如圖10所示,濃度為4%、10%、12%同等甜度的兩種酸奶識別指數84、81、64均小于85,故此三個濃度下的兩種酸奶滋味不具有顯著性差異(P>0.05);而濃度為6%、8%同等甜度下的兩種酸奶識別指數分別為91、86均大于85,故兩個濃度下的兩種酸奶滋味具有顯著性差異(P<0.05)。
在滋味對比方面,不同濃度同等甜度下的兩種酸奶酸味、甜味、苦味、咸味、鮮味存在顯著性差異(P<0.05)(圖11)。添加復配糖的無蔗糖酸奶酸味強度值均比添加同等甜度蔗糖的普通酸奶大,但無顯著性差異(P>0.05)。蔗糖濃度為4%、6%普通酸奶的甜味強度值比添加同等甜度復配糖的無蔗糖酸奶甜味強度值大,蔗糖濃度為8%、10%、12%普通酸奶的甜味強度值小于添加同等甜度復配糖的無蔗糖酸奶。添加與12%蔗糖同等甜度復配糖的無蔗糖酸奶的苦味大于添加同等甜度蔗糖的普通酸奶,相同甜度的兩種酸奶在苦味、咸味、鮮味均存在顯著性差異(P<0.05)。濃度為4%、12%同等甜度下的兩種酸奶鮮味不存在顯著性差異(P>0.05),而濃度為6%、8%、10%同等甜度下的兩種酸奶鮮味存在顯著性差異(P<0.05)。
無蔗糖酸奶與普通酸奶色澤變化差異
電子眼屬于視覺分析,模擬人眼對樣品的感知,分析樣品的整體顏色,以客觀數據展現出來。通過IRISVA400電子眼檢測添加復配糖的無蔗糖酸奶和添加蔗糖的普通酸奶發酵過程及發酵結束時顏色變化,如圖12所示。對占比最大的色號4095(乳白色)進行分析,發酵結束時不同濃度下的兩種酸奶4095所占比例均超過75%。主成分分析結果如圖13所示,蔗糖濃度為4%、10%、12%的普通酸奶和添加同等甜度復配糖的無蔗糖酸奶相比,發酵結束時兩種酸奶識別指數分別為91、92、95,均大于85,說明此三個濃度下兩種酸奶色澤上具有顯著性差異(P<0.05)。而蔗糖濃度為6%、8%的普通酸奶與添加同等甜度復配糖的無蔗糖酸奶相比,識別指數分別是72、−2,均小于85,說明這兩個濃度下的兩種酸奶在色澤上無顯著性差異(P>0.05)。因此,酸奶的色澤和添加的蔗糖、復配糖濃度不呈線性關系,是酸奶的一種表觀體現。
結論
比較發現,發酵過程中,相同甜度下,添加復配糖的無蔗糖酸奶產酸速率顯著高于普通酸奶(P<0.05)。發酵1~3h硬度、粘度無顯著性差異(P>0.05),3h之后出現顯著性差異(P<0.05)。發酵結束時,普通酸奶和添加同等甜度復配糖的無蔗糖酸奶乳酸菌數量具有顯著性差異(P<0.05)。經感官評價得到6%普通酸奶和添加同等甜度復配糖的無蔗糖酸奶感官評分最高。氣味、滋味、色澤方面,發酵結束時,蔗糖濃度為4%、10%、12%的普通酸奶和添加同等甜度復配糖的無蔗糖酸奶,氣味和色澤存在明顯變化,在滋味方面無顯著性差異(P>0.05);而蔗糖濃度為6%、8%的普通酸奶和添加同等甜度復配糖的無蔗糖酸奶,色澤和氣味上無顯著性差異(P>0.05),但在滋味上存在顯著性差異(P<0.05)。經揮發性成分分析,不同濃度的普通酸奶和無蔗糖酸奶共分別檢測出31、44種揮發性成分。因此,添加不同濃度的普通酸奶和添加同等甜度復配糖的無蔗糖酸奶存在差異性。

材料與方法
材料與儀器
原料乳、復配糖(用赤蘚糖醇、羅漢果甜苷、甜葉菊苷按1:0.02:0.02復配,與蔗糖的甜味比為7.77:1)。
HeraclesII電子鼻、Astree電子舌、IRISVA400電子眼。
實驗方法
天然復配糖配方的確定
配制8%蔗糖溶液,以8%蔗糖溶液為基準,根據赤蘚糖醇、羅漢果甜苷、甜菊糖苷等倍甜比例(赤蘚糖醇:羅漢果甜苷=99.58:0.42,赤蘚糖醇:甜菊糖苷=99:0.05)進行復配混合,配制與8%蔗糖溶液等甜度的天然復配糖。采用感官評分(感官表如表1所示)和電子舌檢測相結合的方式,確定與8%蔗糖溶液同等甜度的天然復配糖配方,通過算出8%蔗糖溶液與同等甜度天然復配甜味劑的溶質質量分數之比,從而得出與4%、6%、10%、12%蔗糖溶液同等甜度的天然復配糖配方。
指標測定
無蔗糖酸奶和普通酸奶發酵終點的確定、硬度變化、粘度變化、乳酸菌數量變化。
感官測定 感官評價標準:評分標準參照GB19302-2010《食品安全國家標準發酵乳》的要求并進行修改,選擇10名經過培訓的感官評價人員,對酸奶的組織結構、色澤、口感、風味進行感官評分,如表1所示。
電子鼻測定、電子舌測定、電子眼測定

天然復配糖配方的確定
各配方復配糖比例如下:
配方1:赤蘚糖醇:羅漢果甜苷:甜菊糖苷=99:2.5:2
配方2:赤蘚糖醇:羅漢果甜苷:甜菊糖苷=90:1.8:1
配方3:赤蘚糖醇:羅漢果甜苷:甜菊糖苷=99:2:2
配方4:赤蘚糖醇:羅漢果甜苷:甜菊糖苷=99:2:1
配方5:赤蘚糖醇:羅漢果甜苷:甜菊糖苷=99:2:2.5


2.電子舌味覺分析(表3)得到樣品3和8%蔗糖溶液的甜度相似。
3.電子舌傳感器雷達圖分析,如圖1所示,得到樣品3和8%蔗糖溶液甜度相似。
4.主成分分析,建立二維圖,如圖2~圖3所示,經過綜合分析得出,樣品3和8%蔗糖溶液滋味更接近。

1.兩種酸奶的酸度變化趨勢基本相同。相同發酵時間,同等甜度的兩種酸奶,添加復配糖的無蔗糖酸奶均比普通酸奶產酸速率快。
2.添加與不同蔗糖濃度同等甜度復配糖的無蔗糖酸奶,產酸速率具有顯著性差異(P<0.05);6%產酸速率最大,其次是8%、10%、12%、4%。
3.添加不同濃度蔗糖的普通酸奶,產酸速率具有顯著性差異(P<0.05);產酸速率最大的是6%,其次是4%、8%、10%、12%。
4.蔗糖的添加量會影響發酵時間。不同濃度的無蔗糖酸奶發酵時間均為5 h,說明4%~12%復配糖對乳酸菌的生長無明顯抑制作用。
無蔗糖酸奶與普通酸奶發酵過程中硬度變化
1.相同發酵時間,添加復配糖的無蔗糖酸奶的硬度均比添加同等甜度蔗糖的普通酸奶大;
2.發酵1~3h,普通酸奶和添加同等甜度復配糖的無蔗糖酸奶硬度變化不明顯,3h后硬度顯著增大(P<0.05),二者出現顯著性差異(P<0.05)。
3.發酵結束后,添加蔗糖濃度為4%、6%、8%的普通酸奶和和添加同等甜度復配糖的無蔗糖酸奶之間無顯著性差異(P>0.05),添加蔗糖濃度為10%、12%的普通酸奶和添加同等甜度復配糖的無蔗糖酸奶 存在顯著性差異(P<0.05)。
無蔗糖酸奶與普通酸奶發酵過程中粘度變化
1.同等甜度下,添加復配糖的無蔗糖酸奶粘度增加速率比普通酸奶大。
2.發酵1~3h,添加不同濃度蔗糖的普通酸奶和添加同等甜度復配糖的無蔗糖酸奶粘度變化不明顯,3h之后,粘度上升,且二者出現顯著性差異(P<0.05)。
3.添加不同蔗糖濃度的普通酸奶和添加同等甜度復配糖的無蔗糖酸奶達到發酵終點時,粘度無顯著性差異(P>0.05)。
無蔗糖酸奶與普通酸奶乳酸菌數量變化
1.隨著發酵進行,兩種酸奶乳酸菌數量呈上升趨勢。相同甜度下,添加復配糖的無蔗糖酸奶乳酸菌增長速率大于添加同等甜度蔗糖的普通酸奶。
2.不同復配糖添加量對乳酸菌沒有明顯的抑制作用,添加量為4%~12%的復配糖適合乳酸菌生長。
無蔗糖酸奶與普通酸奶感官評價結果
添加復配糖的無蔗糖酸奶和添加蔗糖的普通酸奶感官評分如圖8所示。添加6%蔗糖的普通酸奶感官評分89,同等甜度下添加復配糖的無蔗糖酸奶感官評分93,評分較其它濃度的酸奶高。同等甜度下,4%蔗糖和復配糖添加量過少不足以掩蓋酸奶發酵過程中的酸味,但組織狀態良好;同等甜度下,8%、10%、12%蔗糖和復配糖添加量過高,滋味過甜。添加量過高會影響到酸奶的凝乳效果,延長發酵時間,有少量乳清析出,出現組織狀態不好的現象。6%的添加量,酸奶酸甜可口,且發酵時間適宜,組織狀態均勻,滋味氣味良好。

對發酵完成的無蔗糖酸奶和普通酸奶進行電子鼻氣味檢測,并進行主成分分析,如圖9所示。發酵結束后,蔗糖添加量在4%~12%的普通酸奶和添加同等甜度復配糖的無蔗糖酸奶,主成分1和主成分2之和大于95%,能夠很好的反映樣品的情況。4%、10%和12%識別指數分別為86、96和95,均大于85,故添加蔗糖濃度為4%、10%、12%的普通酸奶和添加同等甜度復配糖的無蔗糖酸奶氣味上具有顯著性差異(P<0.05);而6%、8%識別指數−0.5、32,均小于85。因此,添加蔗糖為6%、8%的普通酸奶和添加同等甜度復配糖的無蔗糖酸奶氣味更接近,無顯著性差異(P>0.05)。





對不同濃度的兩種酸奶進行電子舌檢測,并進行味覺主成分分析。如圖10所示,濃度為4%、10%、12%同等甜度的兩種酸奶識別指數84、81、64均小于85,故此三個濃度下的兩種酸奶滋味不具有顯著性差異(P>0.05);而濃度為6%、8%同等甜度下的兩種酸奶識別指數分別為91、86均大于85,故兩個濃度下的兩種酸奶滋味具有顯著性差異(P<0.05)。



電子眼屬于視覺分析,模擬人眼對樣品的感知,分析樣品的整體顏色,以客觀數據展現出來。通過IRISVA400電子眼檢測添加復配糖的無蔗糖酸奶和添加蔗糖的普通酸奶發酵過程及發酵結束時顏色變化,如圖12所示。對占比最大的色號4095(乳白色)進行分析,發酵結束時不同濃度下的兩種酸奶4095所占比例均超過75%。主成分分析結果如圖13所示,蔗糖濃度為4%、10%、12%的普通酸奶和添加同等甜度復配糖的無蔗糖酸奶相比,發酵結束時兩種酸奶識別指數分別為91、92、95,均大于85,說明此三個濃度下兩種酸奶色澤上具有顯著性差異(P<0.05)。而蔗糖濃度為6%、8%的普通酸奶與添加同等甜度復配糖的無蔗糖酸奶相比,識別指數分別是72、−2,均小于85,說明這兩個濃度下的兩種酸奶在色澤上無顯著性差異(P>0.05)。因此,酸奶的色澤和添加的蔗糖、復配糖濃度不呈線性關系,是酸奶的一種表觀體現。

比較發現,發酵過程中,相同甜度下,添加復配糖的無蔗糖酸奶產酸速率顯著高于普通酸奶(P<0.05)。發酵1~3h硬度、粘度無顯著性差異(P>0.05),3h之后出現顯著性差異(P<0.05)。發酵結束時,普通酸奶和添加同等甜度復配糖的無蔗糖酸奶乳酸菌數量具有顯著性差異(P<0.05)。經感官評價得到6%普通酸奶和添加同等甜度復配糖的無蔗糖酸奶感官評分最高。氣味、滋味、色澤方面,發酵結束時,蔗糖濃度為4%、10%、12%的普通酸奶和添加同等甜度復配糖的無蔗糖酸奶,氣味和色澤存在明顯變化,在滋味方面無顯著性差異(P>0.05);而蔗糖濃度為6%、8%的普通酸奶和添加同等甜度復配糖的無蔗糖酸奶,色澤和氣味上無顯著性差異(P>0.05),但在滋味上存在顯著性差異(P<0.05)。經揮發性成分分析,不同濃度的普通酸奶和無蔗糖酸奶共分別檢測出31、44種揮發性成分。因此,添加不同濃度的普通酸奶和添加同等甜度復配糖的無蔗糖酸奶存在差異性。
來源:感官科學與評定,轉載請注明來源。文章封面圖片來源于創客貼會員。
參考文獻:祝玉婷,胡志和,霍辰辰,米春螢.添加復配糖對凝固型酸奶品質的影響[J].食品工業科技,2022,43(12):268-282.DOI:10.13386/j.issn1002-0306.2021090082.
提醒:文章僅供參考,如有不當,歡迎留言指正和交流。且讀者不應該在缺乏具體的專業建議的情況下,擅自根據文章內容采取行動,因此導致的損失,本運營方不負責。如文章涉及侵權或不愿我平臺發布,請聯系本平臺。




